Hosted by uCoz

Оптимизация


Уравнения оптимального движения

Подстановка выражений для оптимального управления (7), (8) и (9) или (10) в (6) приводит к выражению для оптимального гамильтониана:
(12)
где

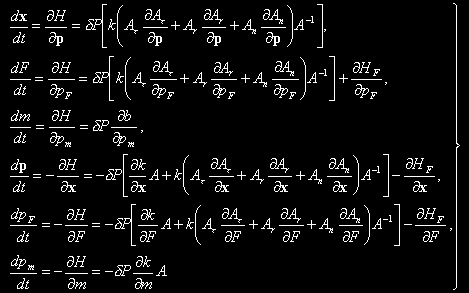
Уравнения оптимального движения при этом примут вид:
(13)
где
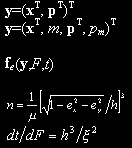
Так как рассматривается межорбитальный перелет, значение истинной долготы F на конечной орбите не фиксировано, поэтому pF(T)=0. Оптимальный гамильтониан после осреднения по истинной долготе не зависит от F, поэтому

Следовательно, на осредненном решении . Оптимальный гамильтониан (12), учитывая предполагаемое осреднение принимает вид
H=δP[kA+b] (14)
а уравнения движения (13) при этом можно переписать в виде:
(15)
Для задачи оптимального быстродействия с функционалом (5а) , следовательно в этом случае можно исключить из рассмотрения дифференциальные уравнения для m и pm:
(15a)


Для уменьшения неустойчивости системы дифференциальных уравнений и снижения вычислительных затрат используется метод осреднения

Осреднение

Эффективное использование осреднения дифференциальных уравнений оптимального движения возможно благодаря малости отношения величины реактивного ускорения к гравитационному. Осреднение позволяет существенно увеличить длину шага численного интегрирования и снизить тем самым вычислительную трудоемкость задачи. Однако, главным аспектом применения метода осреднения в данной задаче является его регуляризующая роль: осредненная система дифференциальных уравнений численно устойчивее неосредненной.

Используется осреднение по времени на орбитальном периоде КА, что соответствует известной в небесной механике схеме осреднения по средней аномалии КА. Асимптотическое обоснование этой схемы хорошо известно: решение осредненных по этой схеме дифференциальных уравнений является нулевым членом разложения решения неосредненных уравнений в ряд Фурье по кратным средней аномалии КА. Интуитивное обоснование применения этой схемы осреднения заключается в малости изменения "медленных" элементов орбиты КА под воздействием реактивного ускорения за один виток.

Осреднение дифференциальных уравнений проводится по формуле
(16)


где
- для задачи оптимального быстродействия,
- для задачи с фиксированным временем,

- правые части неосредненных дифференциальных уравнений (15) или (15a),
- среднее движение,


Краевая задача


В результате интегрирования уравнений (15) или (15а) с применением схемы осреднения (16) определяются значения фазового вектора x и вектора сопряженных переменных p в конечный момент времени T и значения невязок решения краевой задачи, например:
(17)

для задачи с фиксированным временем
(17a)

для задачи на оптимальное быстродействие


Уравнения (17), (17а) необходимо решить относительно вектора неизвестных параметров краевой задачи, который имеет вид:
(18)

для задачи с фиксированным временем
(18a)

для задачи на оптимальное быстродействие


Решение краевой задачи оптимального управления сводится к решению системы нелинейных уравнений, составленной из невязок заданных фазовых координат на правом конце траектории и из условий трансверсальности. Для численного решения этой системы использовались метод продолжения по параметру или различные варианты модифицированных ньютоновских методов. Метод продолжения по параметру принадлежит классу гомотопических методов. В данной работе использовался один из наиболее простых его вариантов, в котором используется погружение исходной задачи в однопараметрическое семейство и линейное продолжение решения задачи по параметру этого семейства.



<< назад   вперед >> 1 2 3